染整前处理对针织物缝纫针洞因素实验探究_
染整前处理对针织物缝纫针洞因素实验探究
1.前言
以天然纤维为原料,采用纬编织造的针织物因手感好、穿着舒适而被普遍应用。但是正是由于这类针织衣料具有伸缩和柔软的特性,给针织服装的缝制带来很多困难,其中成衣缝制过程中的主要疵点之一是为缝纫针洞,简称针洞。针洞使衣物穿着或洗涤以后缝合线会绽开而破,严重影响针织成衣质量。因此,我们对影响纬编针织物缝纫针洞的因素进行实验分析,以求在生产实践中获得佳工艺。
我们的实验主要是采用不同的助剂用量,不同温度及时间等对相同的针织物试样进行处理,然后对处理后的针织物试样的各项指标的测定,各指标的相互比较,找到优方案。
2.染整前处理的目的
从染整加工和一般服用性能方面的要求来说,纺织物应具有良好的润湿性,柔软的手感和洁白的色泽。由于原布上含有棉籽壳,蜡状物质,含氮物质,果胶物质,色素和矿物质以及浆料等杂质,有碍于染整加工的顺利进行,也影响了织物的服用性能。练漂一般是通过退浆、煮练、漂白三个主要过程去除上述各种杂质,提高它们的服用性能,并有利于后续加工的进行。针织物是由纱线成环状联结而成,纱线之间空隙比一般布匹为大,纱线在织前不上浆,其练漂较棉布容易,练漂工艺条件较为温和,由于易变形,不能经受较大的张力,故采用绳状松式设备进行加工。在前处理过程中,如处理不到位,则不能将杂质除尽,影响染整加工进行,若处理过火,则因天然杂质中的油脂,腊之去除导致纤维间摩擦力增大,影响织物柔软性,除表面粗糙外,还在织物缝纫加工时,因纤维不易滑移,针头把纤维扎断而使织物产生缝纫针洞,导致针织线圈发生脱散,影响穿着牢度,故必须严格控制工厂艺条件。
3实验室实验
3.1实验的特点
采用均匀设计法安排实验,所用的水质均为软水,对设计表中各个不同的方案分别进行实验。这种实验的特点是不考虑数据的整齐可比性,而让实验点在实验范围内充分地匀衡分散,以从全面实中挑选较少的实验点作为代表进行实验,通过对针洞的多少,失重率,白度的测定以及相互比较并结合实验的具体情况找出佳方案,对试验结果用回归分析法进行处理。
3.2回归分析
1.回归方程的建立
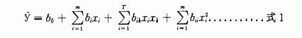
由于用均匀设计表安排试验,实验数据失去了整齐可比性,试验结果不能用一般的方差分析法来处理,而要用多元回归分析来处理数据。在分析测试中,即使响应函数是非线性函数,一般也不考虑因素的三次项与三因素之间的交互作用,因此,响应函数一般可以设计为如下的形式:

i=1,2,…,m,k≥i,T=Cm2
式中xixk反映了两因素之间的交互效应,xi2反映了因素二次项的影响。
若X1=xixk(i—l,2,…,m,k≥i),通过变量交换,可将式化为如式所示的多元线性方程求解
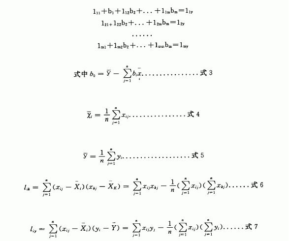
式中回归系数bi与b。可由式正规方程组与式求得:

式中i,k一1,2,…,m,j=1,2,…n,Xijxi,xk在第j次试验中的取值,yi表示y第j次试验的结果。
2.回归方程的显著性检验与回归方程的精度
为了确定所建立的回归方程是否有意义,需进行统计检验。前面已经指出,y的总偏差平方和Q可分解为回归平方和Qg与残差平方和Qe

自由度fr=n,自由度fk=m自由度fe=n-m-1
回归方差Sg2=Qg/m,残余方差Se2=Qe/(n-m-1),残余标准差,即回归方程的精度

若F值大于F分布表中响应显著性水平a和自由度(fg,fe)时的临界值Fa(fg,fe),则说明所建立的回归方程式有意义的。
3.标准回归系数
回归系数bi比表示冈素Xi在其他冈素不变的情况,Xi变化一个单位引起Y值变化的大小,它的绝对值越大,表明该因素对Y值的影响越大,在回归方程中的重要性越大。但回归系数的绝对值大小,与因素所用单位有关,因此,不同单位的回归系数的绝对值不能直接进项比较,必须将各回归系数标准化,按式l1求出标准回归系数bi’,然后才能通过比较bi’的绝对值来判断各因素影响的相对大小。标准回归系数

标准回归系数b’与因素Xt所用单位无关,其绝对值越大,也表示该因素对Y值的影响越大。
3.3实验所用试剂及仪器
1.实验所用试剂:稳定剂渗透剂双氧水烧碱
2.实验仪器
Y802A型八篮恒温烘箱TL—O2型链条天平电热恒温水浴锅ZBD型白度议
3.4实验工艺曲线

3.5均匀实验设计
在该实验中,各助剂的用量、时间、温度等因素的不同均对针织物缝纫针洞有影响,故将稳定剂、渗透剂、双氧水、温度、时间、后处理六个因素同时考虑,采用均匀设计法并借助回归方程找出佳方案,每个因素所采用的水平数以及均匀实验安排见表1、表2


3.6实验结果及其分析
1.实验结果:


2.数据分析及结论:
(1)从表3、表4我们可以看出对各个因素回归系数的检验不满足要求,即不能确切地说明哪个因素对指标的影响大,故对此我们只能作定性讨论。而回归方程的检验满足要求,可以用它来说明因素与指标之间的关系。
(2)经分析可知X1,X4,X6对Y1与Y2均有正相关,即表明,X1,X4,X6取值越大,Y1和Y2的值就越小;而X2,X3,X5取值越大,Y1和Y2的值就越小,因此,我们有理由相信织物失重率与针洞数存在一致性。
(3)按上述多元回归分析并结合试验的具体情况,我们可提出优方案:稳定剂:0%;渗透剂:1%;双氧水:1O%;温度:85℃;时间:110分钟;洗涤:水洗
3.7对比实验
以上述佳方案为基础,与工厂原工艺B和C做对比实验,表头设计见表5,试验结果见表6。


由实验结果可以看出我们提出的优方案得到的指标值好于工厂原工艺B、C两个方案,说明目前所用的两个方案都还存在一些问题,需要改进。
4.生产性试验
我们用试验得出的优选方案对针洞明显的细针距罗纹产品进行了生产性试验,结果使产品的一等品率提高了3%。通过试生产,说明新工艺减少针织物缝纫针洞、提高了产品质量。

